路径追踪
原创2025/6/6大约 1 分钟
Monte Carlo Integration
蒙特卡洛积分
一种基于概率的模拟算法
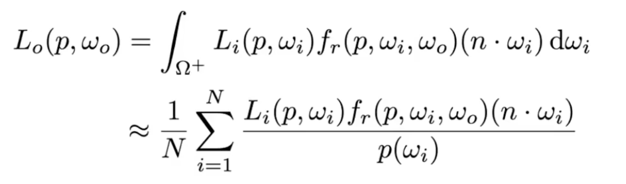
使用蒙特卡洛积分解渲染方程

Path Tracing
对于路径追踪的简单总结
- 从相机出发,逐像素打出光线(一个像素有多条)
- 光线接触到物体表面,使用渲染方程,计算出物体的 Radiance
- Radiance 分为两个部分,一个是对半球积分,一个是对光源积分
- 通过蒙特卡洛解积分的反射光线只需要一根(限制指数级膨胀),且需要使用 Russian Roulette 来计算概率
总结
路径追踪,基于物理的渲染模型,需要许多额外的知识储备
如高数,概率论等,和基础的辐射度量学(物理)
至此,我只是弄明白了路径追踪的思路
但是并没有完全弄清楚辐射度量学部分
不过也还好,起码现在能看懂PRB的相关文章了
后续打算学习高数,线代,概率论后,再回头来补充吧