渲染管线
原创2025/5/13大约 1 分钟
Shading Frequency
Flat Shading 逐平面(face)着色
Gouraud Shading 逐顶点(vertex)着色
Phong Shading 逐像素(pixel)着色
顶点法线
顶点法线 = 顶点相邻面法线之和
注:根据相邻面的面积,做加权平均效果会更好
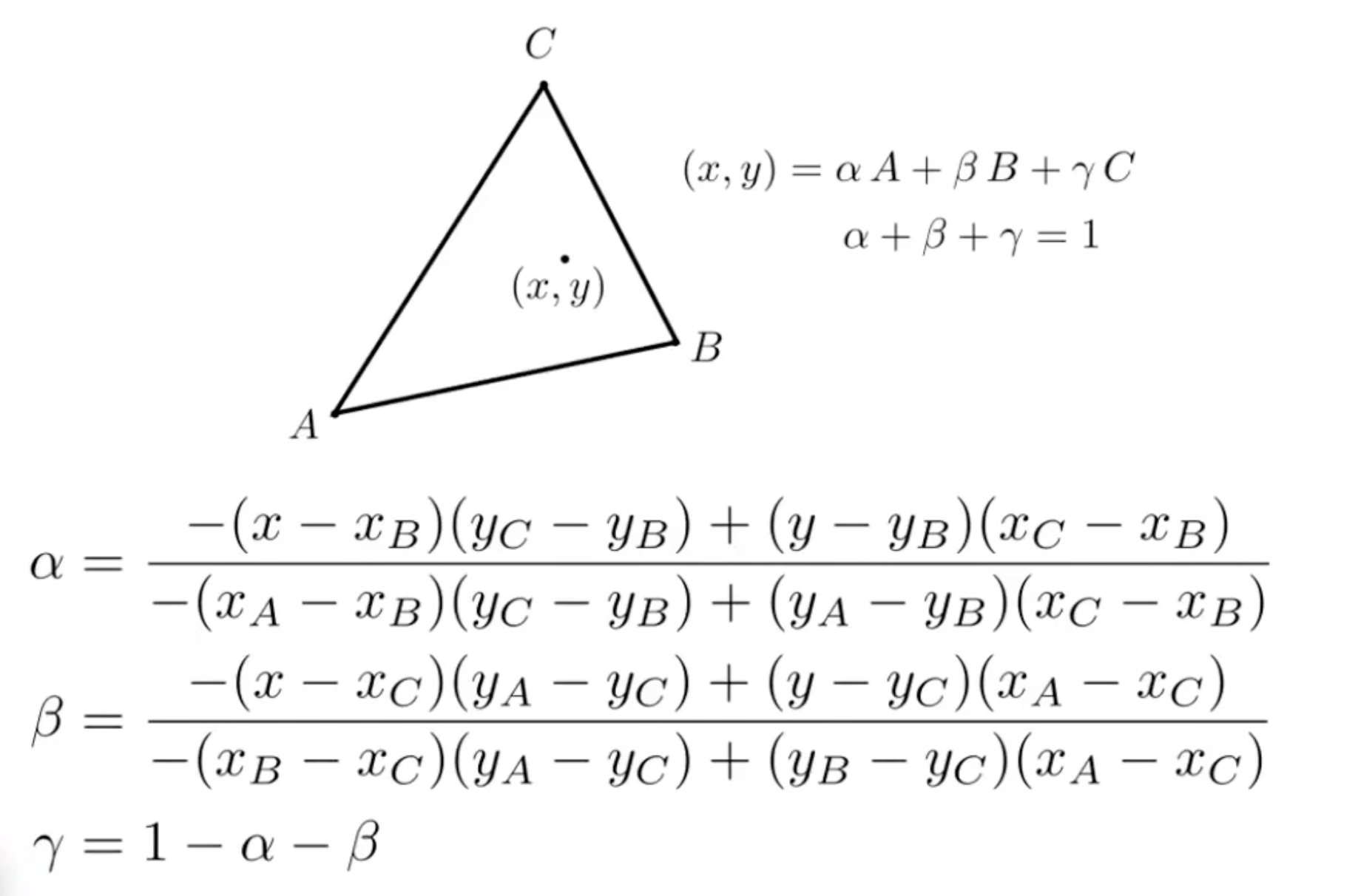
像素法线(插值)
barycentric interpolation (重心插值)
barycentric coordinates (重心坐标)

对于三角形内的任意一个点
关于计算重心坐标,如下图所示
三角形顶点对面的小三角形(A顶点的对面小三角形就是
占总面积的比值

根据叉乘,可以算出三角形的面积,所以有

通过计算即可得出在三角形内任意点(x,y)的
该点的数据,可以通过
渲染管线

在工业生产中,渲染管线基本被固定为了如上图所示的流程中
流程中的各个部分,都是由硬件实现好了的,只开放了两个可编程的部分
顶点着色器( Vertex Shader )
片元着色器( Fragment Shader )